Αν λύσετε αυτό το μαθηματικό πρόβλημα, ένας Tεξανός τραπεζίτης θα σας δώσει $1 εκατομμύριο

Αν λύσετε αυτό το μαθηματικό πρόβλημα, ένας Tεξανός τραπεζίτης θα σας δώσει $1 εκατομμύριο Facebook Twitter
21

Ο τραπεζίτης και αυτοδίδακτος μαθηματικός D. Andrew Beal έχει αυξήσει το χρηματικό έπαθλο για όποιον καταφέρει να αποδείξει την εικασία που ανακάλυψε το 1993, όπως αναφέρει το Αssociated Press.

Το χρηματικό έπαθλο του $1,000,000 θα δοθεί από την Αμερικανική Μαθηματική Εταιρεία σ' αυτόν που θα καταφέρει να αποδείξει πρώτος την εικασία του Beal, ένα παρακλάδι της απόδειξης του θρυλικού τελευταίου θεωρήματος του Fermat, που λύθηκε από τον Andrew Wiles το 1994.

Το πρόβλημα που μπορεί να λύσει πολλά άλλα προβλήματα βρίσκεται εδώ.

Αν λύσετε αυτό το μαθηματικό πρόβλημα, ένας Tεξανός τραπεζίτης θα σας δώσει εκατομμύριο Facebook Twitter

Το τελευταίο θεώρημα του Fermat, που παρέμεινε άλυτο για εκατοντάδες χρόνια, διατυπώνεται ως εξής: τρεις θετικοί ακέραιοι αριθμοί a, b, και c δεν μπορούν να ικανοποιήσουν την εξίσωση ax + bx = cx  για κάθε ακέραιο αριθμό x μεγαλύτερο από το δύο.

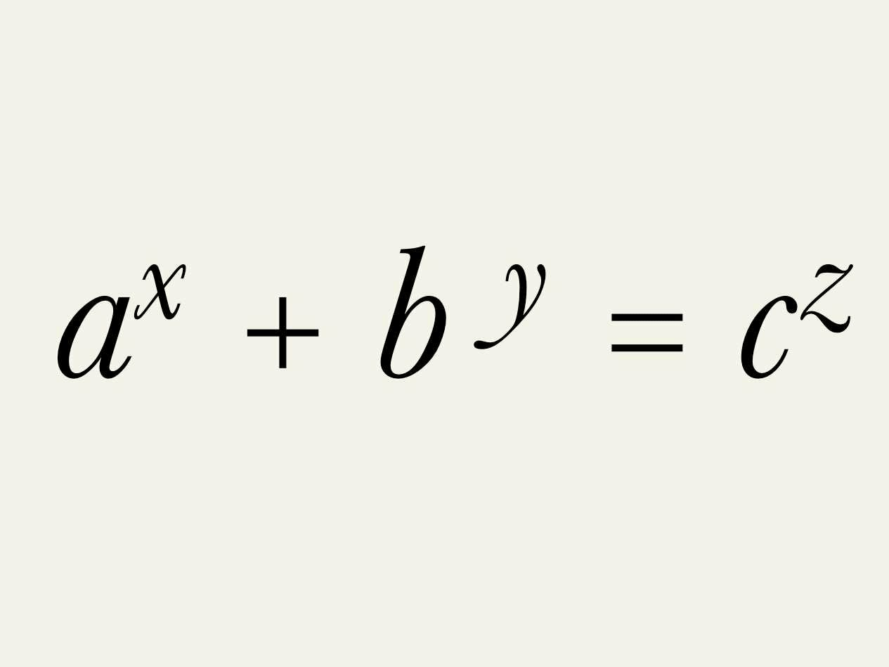
Ο Andy Beal δούλευε πάνω στο τελευταίο θεώρημα του Fermat όταν σκόνταψε πάνω σ' ένα νέο πρόβλημα: Αν ax + by = cz όπου α, b, c, x, y και z είναι θετικοί ακέραιοι και x, y και z είναι όλοι τους μεγαλύτεροι από το 2, τότε οι α, b και c πρέπει να έχουν ένα κοινό πρώτο παράγοντα.

Έτσι λοιπόν, όποιος καταφέρει να βρεί πρώτος μια απόδειξη στην εικασία του Beal, η οποία θα εγκριθεί από μια επιτροπή ορισμένη από την Αμερικανική Μαθηματική Εταιρεία, θα γίνει πλουσιότερος κατά $1,000,000.

21

ΔΕΙΤΕ ΑΚΟΜΑ

Όχι άλλο κάρβουνο: Αφήστε το αναρχικό άστρο να λάμπει στην πλατεία Εξαρχείων και καλές γιορτές

Δ. Πολιτάκης / Όχι άλλο κάρβουνο: Αφήστε το αναρχικό άστρο να λάμπει στην πλατεία Εξαρχείων και καλές γιορτές

Μπορεί να έχει άμεση ανάγκη κάποιου είδους ανάπλασης η Πλατεία Εξαρχείων, το τελευταίο που χρειάζεται όμως είναι ένα μίζερο χριστουγεννιάτικο δέντρο με το ζόρι.
ΔΗΜΗΤΡΗΣ ΠΟΛΙΤΑΚΗΣ
Δεκαετία του 2010: Δέκα χρόνια που στην Ελλάδα ισοδυναμούν με αιώνες

Β. Βαμβακάς / Δεκαετία του 2010: Δέκα χρόνια που στην Ελλάδα ισοδυναμούν με αιώνες

Οποιοσδήποτε απολογισμός της είναι καταδικασμένος στη μερικότητα, αφού έχουν συμβεί άπειρα γεγονότα που στιγμάτισαν τις ζωές όλων μας ‒ δύσκολο να μπουν σε μια αντικειμενική σειρά.
ΤΟΥ ΒΑΣΙΛΗ ΒΑΜΒΑΚΑ
Τα χρόνια των μετακινήσεων και η κουβέντα για το brain drain που δεν μου αρέσει καθόλου

Β. Στεργίου / Τα χρόνια των μετακινήσεων και η κουβέντα για το brain drain που δεν μου αρέσει καθόλου

Αντί να βλέπουμε τη χώρα σαν άδεια πισίνα όπου πρέπει να γυρίσουν τα ξενιτεμένα της μυαλά για να γεμίσει, ας αλλάξουμε τα κολλημένα μυαλά σ' αυτόν εδώ και σε άλλους τόπους.
ΤΗΣ ΒΙΒΙΑΝ ΣΤΕΡΓΙΟΥ

σχόλια

15 σχόλια
ο Φερμά είχε γράψει στο περιθώριο των σημειώσεων ότι γνώριζε μία πολύ ωραία απόδειξη για το θεώρημα, αλλά δεν είχε αρκετό χώρο για να το γράψει!τελικά, το θεώρημα αποδείχτηκε με μαθηματικά που δεν είχαν ανακαλυφθεί τότε..ποιος ξέρει αν έκανε πλάκα...
Εντάξει είναι λίγο πιο πίκρα. Το βραβείο θα δοθεί αφού περάσουν δύο χρόνια από τη δημοσίευση της σε αναγνωρισμένη διεθνή έκδοση μαθηματικού ενδιαφέροντος και αφού εξεταστεί από ανεξάρτητους ειδικούς.Πάντως σεβασμό στον Τεξανό, δίνει τα φράγκα του σε κάτι που προωθεί την ανθρώπινη επιστήμη και σκέψη, ο ίδιος είναι ερασιτέχνης μαθηματικός και τέλος πάντων ξοδεύει τα χρήματα του σε κάτι πιο χρήσιμο από λουλούδια σε σκυλάδικο.
Δεν μπορώ να καταλάβω τα αρνητικά σχόλια σε μαθηματικό αρθρο. Αν αγάπη δεν ξέρεις μαθηματικά εε μην ασχοληθείς...Είσαι εσύ πυροσβέστης και κρατώ εγώ την μάνικα;
Διαχρονικά έχουν υπάρξει χρηματικά έπαθλα τέτοιας τάξης μεγέθους για τους λύτες των λεγόμενων "άλυτων μαθηματικών προβλημάτων" όπως αυτά διατυπώθηκαν στο 2ο παγκόσμιο Συνέδριο ΜΑθηματικών τ0 1900 στο Παρίσι από τον David Hilbert. Τελευταίος που έγινε διάσημος στην κοινή γνώμη ήταν ο Ρώσσος Evgenyi Perelman ο οποίος έλυσε τη λεγόμενη εικασία του Poincare και ο οποίος αρνήθηκε να παραλάβει το 2000 το βραβείο Fields, το λεγόμενο Νόμπελ των μαθηματικών και ένα χρηματικό έπαθλο ίδιου μεγέθους με το αναφερόμενο στο ρεπορτάζ. Δεν είναι κάτι καινοφανές.
Για πολλους λογους.πχ για να μπορεις εσυ να μπαινεις τωρα στο ιντερνετ, να κανεις με ασφαλεια τις συναλλαγες στις τραπεζες, να εχεις κινητο τηλεφωνο ακομα και να βλεπεις τηλεοραση.Σε καθε περιπτωση, υπαρχουν τοσο ηλιθιοι ανθρωποι ωστε να μπορεις εσυ ο εξυπνος να μην κανεις σχεδον τιποτα. Απλα να κανεις login στο facebook. Δε χρειαζεται τιποτα αλλο